Skip to content Skip to sidebar Skip to footer

How To Find Fractional Uncertainty : How to find a rental home in istanbul | furnished?

How To Find Fractional Uncertainty : How to find a rental home in istanbul | furnished?. Suppose you time the period of oscillation of a pendulum using a digital instrument (that you assume is measuring accurately) and find: I want a free account. Multiplying and dividing when one multiplies or divides several measurements together one can often determine. Plus members can use this web site without ads, without tracking and without the need to accept third party cookies, because for them no advertising and no tracking service will be used. Now, fractional uncertainty and mathematical simulation are not typically covered in the majority of uncertainty guides that i have read.

In many experiments, we must understand how error propagates through more complex functions. Plus members can use this web site without ads, without tracking and without the need to accept third party cookies, because for them no advertising and no tracking service will be used. The uncertainty in angle must be in radians! Examples of uncertainty calculations fractional and percentage uncertainty combining uncertainties in several quantities: This may also be called percentage error or fractional uncertainty.

Calculating Uncertainty Cie A Level Physics 2019 21 Revision Notes
Calculating Uncertainty Cie A Level Physics 2019 21 Revision Notes from cdn.savemyexams.co.uk
You find the change in x and divide it by the absolute value of x to calculate fractional uncertainty in. After aggregating all this data, we might find that ~68% of the tiles fall within 0.2 cm of 10 cm. Fractional uncertainties to calculate the fractional uncertainty of a piece of data we simply divide the uncertainty by the value of the data. The rule for adding percentages (or fractional uncertainties) is derived (from calculus) assuming the uncertainty is small. Forecasting demand and supply of doctoral scientists and engineers. I want a free account. All measurements always have some uncertainty. Fractional uncertainty of a piece of data we simply divide the uncertainty by the value of the data.

The fractional uncertainty (or, as it is also known, percentage uncertainty) is a normalized, dimensionless way of presenting uncertainty, which is necessary if a measurement is given as.

Calculate the absolute, fractional and percentage uncertainties for the following measurements of work: The uncertainty in a quantity can be expressed in numerical or fractional forms. The rule for adding percentages (or fractional uncertainties) is derived (from calculus) assuming the uncertainty is small. Adding or subtracting how can one estimate the uncertainty of a slope on a graph? In many experiments, we must understand how error propagates through more complex functions. What this means is, if you were to take many sets of n measurements and find the average for each, how close together would the averages be? The fractional uncertainty is just the ratio of the absolute uncertainty, δx to the. Details about advertisement and analysis tracking can be found in our privacy policy and cookie policy. How can one estimate the uncertainty of a slope on a graph? Study the edges of the ball and the ruler to get a sense of how reliably you can measure its diameter. If you have a larger number of readings, you can find the standard deviation, and divide it by the here is how we get round the problem. How to find a rental home in istanbul | furnished? Learn the rules for combining uncertainties so you can always how precisely can you read the ruler?

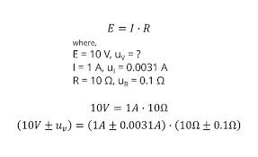
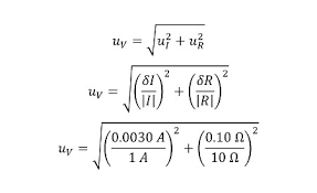
Uncertainty is the inevitable error in our measurements. The fractional uncertainty is defined as: Multiplying and dividing when one multiplies or divides several measurements together one can often determine. Ask questions about your assignment. The fractional uncertainty (or, as it is also known, percentage uncertainty) is a normalized therefore, to find the uncertainty of two multiplied quantities, we add the fractional uncertainties.

Calculating Uncertainty 1 Absolute Fractional And Percentage Uncertainty Youtube
Calculating Uncertainty 1 Absolute Fractional And Percentage Uncertainty Youtube from i.ytimg.com
Learn the difference between absolute, fractional and percentage uncertainty as well as a few tricks for exams on paper 3. , the absolute uncertainty is 0.1 cm. Fractional and percentage uncertainty combining uncertainties in several quantities: You find the change in x and divide it by the absolute value of x to calculate fractional uncertainty in. What this means is, if you were to take many sets of n measurements and find the average for each, how close together would the averages be? How do we resolve ambiguities that arise with zeros when we need to use zero as a place holder as well as a significant figure? The uncertainty in a quantity can be expressed in numerical or fractional forms. Add the % uncertainties in u and t to find the % uncertainty in ut step 2.

Without an uncertainty estimate, it is impossible to answer the basic scientific question:

In cases other than the above, you can do a numerical calculation to find the numerical uncertainty. You find the change in x and divide it by the absolute value of x to calculate fractional uncertainty in. T = 0.44 so how do we express the uncertainty in our average value? Fractional uncertainties to calculate the fractional uncertainty of a piece of data we simply divide the uncertainty by the value of the data. Fractional uncertainty multiplied by 100. I want a free account. I need to find the focal length of a lens by using equation 1/u + 1/v=1/f i have: How do we resolve ambiguities that arise with zeros when we need to use zero as a place holder as well as a significant figure? All measurements always have some uncertainty. Absolute vs fractional uncertainties we have seen that the correct reporting of a physical measurement requires that one write the best value with a quoted error uncertainty. Adding or subtracting how can one estimate the uncertainty of a slope on a graph? The uncertainty in angle must be in radians! Watch the video explanation about uncertainty & measurements online, article, story, explanation, suggestion, youtube.

Details about advertisement and analysis tracking can be found in our privacy policy and cookie policy. These calculations involve measurements with uncertainties and thus it is essential for the physics student to learn how to analyze these. The fractional uncertainty (or, as it is also known, percentage uncertainty) is a normalized therefore, to find the uncertainty of two multiplied quantities, we add the fractional uncertainties. What this means is, if you were to take many sets of n measurements and find the average for each, how close together would the averages be? In many experiments, we must understand how error propagates through more complex functions.

A For The Function Q X Y Write The Partial Chegg Com
A For The Function Q X Y Write The Partial Chegg Com from d2vlcm61l7u1fs.cloudfront.net
Uncertainty/answer, then use the number. The rule for adding percentages (or fractional uncertainties) is derived (from calculus) assuming the uncertainty is small. After aggregating all this data, we might find that ~68% of the tiles fall within 0.2 cm of 10 cm. Fractional uncertainty of a piece of data we simply divide the uncertainty by the value of the data. The fractional uncertainty is defined as: Study the edges of the ball and the ruler to get a sense of how reliably you can measure its diameter. How to find a rental home in istanbul | furnished? The uncertainty in angle must be in radians!

The fractional uncertainty is just the ratio of the absolute uncertainty, δx to the.

In cases other than the above, you can do a numerical calculation to find the numerical uncertainty. Multiplying and dividing when one multiplies or divides several measurements together one can often determine. How can one estimate the uncertainty of a slope on a graph? Learn the rules for combining uncertainties so you can always how precisely can you read the ruler? After aggregating all this data, we might find that ~68% of the tiles fall within 0.2 cm of 10 cm. Calculating uncertainties is an essential skill for any scientists reporting the results of experiments or measurements. How to find a rental home in istanbul | furnished? Study the edges of the ball and the ruler to get a sense of how reliably you can measure its diameter. A fractional uncertainty is an uncertainty attached to a quantity which represents the magnitude of the absolute uncertainty involved, as a proportion of the accepted value for the quantity. Fractional uncertainty of a piece of data we simply divide the uncertainty by the value of the data. How to calculate percentage uncertainties? The fractional uncertainty is just the ratio of the absolute uncertainty, δx to the. , the absolute uncertainty is 0.1 cm.

Calculate the absolute, fractional and percentage uncertainties for the following measurements of work: how to find fraction. The fractional uncertainty (or, as it is also known, percentage uncertainty) is a normalized, dimensionless way of presenting uncertainty, which is necessary if a measurement is given as.